
5 Kit di preparazione PRP a confronto: ecco i risultati.
La preparazione del PRP può avvenire attraverso due diverse procedure:
- manualmente direttamente in ambulatorio,
- attraverso l’utilizzo di kit di preparazione commerciali.
Uno studio ha messo a confronto la qualità delle preparazioni ottenute con 5 diversi kit commerciali, validati per uso canino.
Non è stato oggetto di studio l’efficacia terapeutica del preparato, ma solo i parametri chiave che ne determinano le caratteristiche quali/quantitative.
In questo articolo valutiamo i risultati ragionando sulle differenze.
Contenuti
Kit preparazione PRP.
Cos’è il PRP e quali campi di applicazione trova?
Il PRP (Plasma Ricco di Piastrine) è una preparazione tra le più utilizzate nella medicina rigenerativa.
Si ottiene per centrifugazione del sangue del soggetto da trattare (autologo).
Il ricavato è un preparato ricco di piastrine.
Molti studi hanno dimostrato la capacità del PRP di migliorare i tempi di guarigione di lesioni, sia dei tessuti duri, che dei tessuti molli:
- lesioni cutanee, quali le piaghe da decubito,
- processi degenerativi articolari come l’osteoartrosi,
- lesioni legamentose,
- patologie oculari, quali le ulcere corneali.
Trova applicazione sia nella clinica dei piccoli animali, che dei grossi, bovino compreso.
Recenti studi hanno messo in evidenza come le piastrine riescano a richiamare e stimolare le cellule staminali.
Il PRP è quindi utilizzato anche come vettore di cellule (scaffold) per accrescere e amplificare l’efficacia terapeutica.[1]
Il ruolo primario nel PRP è svolto dalle piastrine.
Sono loro a contenere granuli che rilasciano i fattori di crescita.
Questi promuovono la migrazione di cellule dell’organismo verso la zona della lesione, stimolando e accelerando di fatto una guarigione spontanea.
Kit preparazione PRP.
Uso umano e uso veterinario, fa lo stesso?
I kit commerciali si basano su sistemi di separazione che hanno principalmente origine dalla medicina umana e sono stati poi adattati e validati per la medicina veterinaria equina.
Spesso presentano differenze nella concentrazione piastrinica, delle cellule bianche e dei fattori di crescita.
Ma, mentre molti studi sono stati fatti per validare l’efficacia dei kit sui cavalli, meno ne sono stati effettuati per verificarne l’efficacia sul cane.
Anzi.
Uno studio ha messo in evidenza come l’uso di alcuni kit validati sul cavallo e sull’uomo, potesse non avere la stessa consistenza ed efficacia anche sul cane [8].
Un altro recente studio ha ottenuto risultati contraddittori circa l’efficacia di alcuni kit di preparazione sul cane.
Il limite di tale studio, però, risiede nell’assenza di un’analisi statistica sufficientemente supportata, non mettendo inoltre in evidenza le differenti concentrazioni di cellule bianche [9].
Ecco perché si è deciso di mettere a confronto 5 kit di preparazione PRP validati ad uso canino, valutandone i parametri chiave.
5 Kit preparazione PRP canino a confronto.
In questo studio [15] è stato valutato come i parametri chiave di un PRP possano significativamente mutare a seconda del kit commerciale utilizzato.
Sono stati usati prodotti validati per l’uso sul cane e analizzato il sangue lavorato da 48 cani accertati e certificati come sani.
Nessuna considerazione è stata fatta sull’efficacia terapeutica del concentrato ottenuto.
Caratteristiche dei cani utilizzati
Considerando la variabilità nella composizione cellulare del sangue, sono stati scelti cani di razze alquanto diverse:
- Labrador Retriever (n = 7),
- Border Collie (n = 5),
- Pastore tedesco (n = 4),
- Golden Retriever (n = 4),
- Rottweiler (n = 3),
- Boxer (n = 2),
- Doberman (n = 2),
- Bulldog inglese (n = 2),
- Pit Bull Terrier (n = 2),
- American Bulldog (n = 1),
- American Staffordshire Terrier (n = 1),
- Malinois (n= 1),
- Collie (n = 1),
- Bouledogue francese (n = 1),
- Alano (n = 1),
- Keeshond (n = 1),
- Mastiff (n = 1),
- Newfoundland (n = 1),
- Barboncino standard (n = 1),
- Vizsla (n = 1),
- Meticcio (n = 6).
Di questi sono:
- 6 maschi interi,
- 17 maschi castrati,
- 8 femmine intere,
- 17 sterilizzate.
Il peso medio è di 31 kg (da 11.3 kg a 55.5 kg) e l’età media è di 6 anni (da 1 a 13 anni)
I diversi dispositivi utilizzati sono stati numerati da 1 a 5 (trovi i riferimenti dei produttori nei link qui: kit 1, kit 2, kit 3, kit 4, kit 5).
Ogni kit è stato testato su 10 cani, tranne i kit 3 e 4 per cui sono stati utilizzati 8 cani diversi, a due dei quali è stato prelevato sangue due volte, a distanza di 30 giorni l’uno dall’altro.
Sono state rispettate le procedure di prelievo, raccolta e quantitativo di sangue consigliate dalla casa produttrice:
- prelievo dalla giugulare con ago butterfly 18, per i kit 1, 2, 3 e 5;
- prelievo dalla giugulare con ago butterfly 21 da vacutainer, perché il sangue necessita di fluire direttamente in una provetta, facente parte del kit contenente sodio citrato, per il kit 4.
E’ stata fatta una prima analisi per valutare la base cellulare dei singoli prelievi.
Infine, immediatamente dopo il prelievo di sangue, è stato effettuato il processo di concentrazione secondo le indicazioni della casa.
Il concentrato ottenuto è poi stato analizzato.
I parametri chiave valutati sono stati la concentrazione di:
- piastrine,
- eritrociti,
- globuli bianchi,
- neutrofili,
- monociti,
- linfociti.
Risultati ottenuti.
Al fine di valutare meglio i risultati è utile conoscere il parametro per cui si ritiene una differenza come statisticamente significativa.
Questo parametro è stato fissato a p=0,05.
Concentrazione piastrinica

Come si può notare nel grafico, la variazione di concentrazione piastrinica maggiore è stata ottenuta con il kit 1 e 3, come aumentata concentrazione, mentre è stata decisamente ridotta nel sistema 2.
I parametri valutati in percentuale, sono:
- kit 1 > 219 %
- kit 2 < 91 %
- kit 3 > 550 %
- kit 4 variazione non statisticamente significativa
- kit 5 variazione non statisticamente significativa
Concentrazione di globuli rossi (eritrociti)

Tutti i sistemi hanno dimostrato una riduzione statisticamente significativa di concentrazione dei globuli rossi.
I parametri valutati in percentuale decrescente sono:
- kit 2 < 98 %
- kit 4 < 96 %
- kit 3 < 95 %
- kit 1 < 85 %
- kit 5 < 37 %
Concentrazione di globuli bianchi

Sono state osservate differenze significative nei kit 2, 4 e 5, mentre nessuna differenza (o non significativa) è stata osservata nei kit 1 e 3.
I parametri valutati in percentuale sono:
- kit 2 e 4 < 89 %
- kit 5 > 110 %
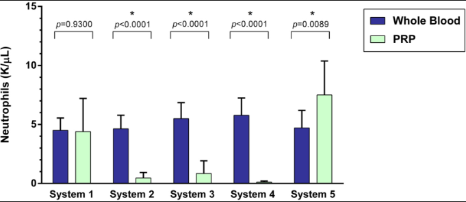
Concentrazione di neutrofili

Sono state osservate differenze significative nei kit 2, 3, 4 e 5, mentre nessuna differenza (o non significativa) è stata osservata nel kit 1.
I parametri valutati in percentuale sono:
- kit 4 < 98%
- kit 2 < 90 %
- kit 3 < 85 %
- kit 5 > 59%
Concentrazione di monociti

Sono state osservate differenze significative nei kit 2, 4 e 5, mentre nessuna differenza (o non significativa) è stata osservata nel kit 1.
I parametri valutati in percentuale sono:
- kit 4 < 79%
- kit 2 < 62 %
- kit 5 > 114%
Concentrazione di linfociti

Sono state osservate differenze significative in tutti e 5 i kit che hanno mostrato una riduzione della concentrazione di linfociti.
I parametri valutati in percentuale sono:
- kit 5 < 267%
- kit 3 < 220 %
- kit 1 < 191 %
- kit 2 < 74 %
- kit 4 < 67%
Caratteristiche del PRP veterinario: come deve essere un PRP perfetto?
Prima di trarre le conclusioni sullo studio facciamo qualche valutazione circa il PRP idealmente perfetto: quali caratteristiche dovrebbe avere?
Per comprenderlo, dobbiamo riferirci alla bibliografia in nostro possesso.
Si sono effettuati diversi studi per determinare la giusta componente del PRP, affinché non avesse effetti collaterali o reazioni avverse e che riuscisse a determinare la guarigione del tessuto danneggiato.
I primi si sono svolti nell’ambito della medicina umana e da questi si è ipotizzato che il giusto PRP dovesse avere
una concentrazione piastrinica da 4 a 7 volte quella normale del plasma [2,3]
Ma non è soltanto una questione di concentrazione di piastrine.
Esistono infatti altri parametri da valutare. In particolare la presenza o assenza di:
- cellule mononucleari,
- neutrofili,
- eritrociti.
La composizione del preparato è determinante nell’ottenimento del risultato terapeutico.
E’ infatti stato dimostrato che la presenza di neutrofili ed eritrociti nel PRP provoca una reazione flogistica nel punto di inoculo [4, 5, 6], per cui dovrebbero essere ridotti al minimo.
Rimane invece sconosciuto l’effetto dei mononucleati [5, 7].
Cellule rosse e bianche nel PRP: cosa provocano?
Effetto dei globuli rossi nel PRP.
Sembra che una permanenza di globuli rossi all’interno del PRP, induca un aumento della concentrazione di mediatori infiammatori, in particolare di IL-1 e TGF-α.
Interessanti sono i risultati di uno studio in cui si è messo in evidenza come l’infiltrazione di PRP ricco in globuli rossi inducesse maggiormente la morte di sinoviociti (umani) rispetto ad una infiltrazione con PRP ricco di leuocociti, povero di leucociti o con soluzione salina fosfatata di controllo [5].
Leucociti nel PRP: quali gli effetti?
Anche gli effetti della persistenza dei leucociti nel PRP è stata investigata.
Sono stati messi a confronto gli effetti di Plasma Ricco in Piastrine (PRP) con basse concentrazioni di leucociti (Leukocyte-Poor PRP=LP-PRP) e alte concentrazioni di leucociti (Leukocyte-Rich PRP= LR-PRP).
Alte concentrazioni di leucociti nel PRP (LR-PRP) hanno provocato la liberazione di mediatori pro-infiammatori come IL-1β, IL-6, IL-8 IFN-γ, TNF-α [12, 11, 4, 5].
E’ stato inoltre osservato che la presenza di leucociti nel PRP è associata ad una minor capacità di sintesi di collagene nei tendini.
Uno studio recente ha definito come maggiormente efficace l’effetto di un LP-PRP (Povero di Leucociti), rispetto ad un LR-PRP (Ricco di Leucociti) nel mantenimento dell’omeostasi tendinea e nel contrasto del processo infiammatorio in caso di osteoartrite [12, 5, 13, 14].
Ruolo dei monociti nel PRP
Non sono molti gli studi che hanno messo in evidenza il ruolo di questa parte cellulare all’interno del PRP e dunque rimane da investigare meglio.
Ciononostante, recenti ricerche hanno messo in evidenza come la presenza di monociti sia associata ad un aumento del metabolismo cellulare e della produzione di fibroblasti e collagene.
Inoltre, pare che le piastrine possano stimolare il richiamo di cellule dal sangue periferico (linfociti, macrofagi e monociti), incrementando la produzione di collagene.

Un momento del nostro corso pratico di preparazione di un corretto PRP in Ambulatorio.
Conclusioni dello studio.
Come abbiamo visto negli schemi, nonostante i 5 kit fossero validati per l’utilizzo sul cane e quindi apparentemente potessero essere tutti considerati uguali nelle caratteristiche di base, molte sono state le differenze del prodotto finale ottenuto.
I kit 1 e 3 hanno mostrato una ottima capacità di aumentare la concentrazione delle piastrine.
Ciononostante:
- il kit 1 non ha saputo ridurre la concentrazione di neutrofili;
- anche se ha ben ridotto quella dei globuli rossi (85%);
- il kit 3 è stato in grado di ridurre sia i globuli rossi (95%)
- che i neutrofili (85%)
Come abbiamo già detto, poco o nulla si sa sugli effetti dei monociti e linfociti nel PRP, mentre sicuramente è stato accertato che la presenza di leucociti e globuli rossi ha un effetto negativo.
Dall’interpretazione di questi dati si possono trarre alcune interessanti considerazioni:
- Ciascun kit lavora secondo una sua procedura, quindi il prodotto finale che si ottiene dipenderà dal tipo di kit usato.
- I kit, che sono prodotti certificati per un determinato uso, lavorano – anzi debbono lavorare – sempre nello stesso modo, cioè debbono garantire un procedimento standardizzato.
- Purtroppo, però, non sono standardizzabili né la qualità del sangue, né il tipo di lesione.
Infatti spesso (soprattutto nel cane, molto meno nel cavallo), il sangue ha caratteristiche molto differenti da razza a razza ed anche da soggetto a soggetto e sarebbe molto utile potere modificare la procedura in base alle caratteristiche del campione da processare.
Anche la percentuale di leucociti presente nel PRP può fare la differenza se deve essere somministrato in sede intrarticolare, in una lesione tendinea oppure in una lesione cutanea. - Il grande vantaggio dei kit sta nel fatto che lavorano a circuito chiuso, quindi in condizioni di sterilità, fatta eccezione per la delicata fase del prelievo.
Tutte queste considerazioni giustificano l’utilizzo di una procedura manuale di preparazione del PRP, che però è molto più delicata sotto il profilo dell’asepsi durante la fase della lavorazione.
Richiede manualità precise ed accorte, ma ha il
grande vantaggio di potere scegliere quale tipo di PRP produrre in relazione alla lesione da trattare ed anche di correggere le numerose differenze che esistono tra i singoli campioni, in modo da potere ottenere il prodotto finale adatto al tipo di trattamento che si deve eseguire.
Bibliografia:
- Xie X, Wang Y, Zhao C, Guo S, Liu S, Jia W, et al. Comparative evaluation of MSCs from bone marrow and adipose tissue seeded in PRP-derived scaffold for cartilage regeneration. Biomaterials (2012) 33:7008–18. doi:10.1016/j.biomaterials.2012.06.058
- Hsu WK, Mishra A, Rodeo SR, Fu F, Terry MA, Randelli P, et al. Platelet-rich plasma in orthopaedic applications: evidence-based recommendations for treatment. J Am Acad Orthop Surg (2013) 21:739–48. doi:10.5435/JAAOS-21-12-739
- Pelletier MH, Malhotra A, Brighton T, Walsh WR, Underman R. Platelet function and constituents of platelet rich plasma. Int J Sports Med (2013) 34:74–80. doi:10.1055/s-0032-1316319
- McLellan J, Plevin S. Does it matter which platelet-rich plasma we use? Equine Vet Educ (2011) 23(2):101–4. doi:10.1111/j.2042-3292.2010.00185.x
- Braun HJ, Kim HJ, Chu CR, Dragoo JL. The effect of platelet-rich plasma formulations and blood products on human synoviocytes. Am J Sports Med (2014) 42(5):1204–10. doi:10.1177/0363546514525593
- Stief M, Gottschalk J, Ionita JC, Einspanier A, Oechtering G, Boettcher P. Concentration of platelets and growth factors in canine autologous conditioned plasma. Vet Comp Orthop Traumatol (2011) 24:285–90. doi:10.3415/VCOT-10-04-0064
- Sundman EA, Cole BJ, Fortier LA. Growth factor and catabolic cytokine concentrations are influenced by the cellular composition of platelet-rich plasma. Am J Sports Med (2013) 39(10):2135–40. doi:10.1177/0363546511417792
- Stief M, Gottschalk J, Ionita JC, Einspanier A, Oechtering G, Boettcher P. Concentration of platelets and growth factors in canine autologous conditioned plasma. Vet Comp Orthop Traumatol (2011) 24:285–90. doi:10.3415/VCOT-10-04-0064
- Franklin SP, Garner BC, Cook JL. Characteristics of canine platelet-rich plasma prepared with five commercially available systems. Am J Vet Res (2015) 76(9):822–7. doi:10.2460/ajvr.76.9.822
- Boswell SG, Cole BJ, Sundman EA, Karas V, Fortier LA. Platelet-rich plasma: a milieu of bioactive factors. Arthroscopy (2012) 28(3):429–39. doi: 10.1016/j.arthro.2011.10.018
- Dohan Ehrenfest DM, Doglioli P, de Peppo GM, Del Corso M, Charrier JB. Choukroun’s platelet-rich fibrin (PRF) stimulates in vitro proliferation and differentiation of human oral bone mesenchymal stem cell in a dose-dependent way. Arch Oral Biol (2010) 55:185–94. doi:10.1016/j.archoralbio.2010.01.004
- Boswell SG, Schnabel LV, Mohammed HO, Sundman EA, Minas T, Fortier LA. Increasing platelet concentrations in leukocyte-reduced platelet-rich plasma decrease collagen gene synthesis in tendons. Am J Sports Med (2013) 42(1):42–9. doi:10.1177/0363546513507566
- Dragoo JL, Braun HJ, Durham JL, Ridle BA, Odegaard JI, Luong R, et al. Comparison of the acute inflammatory response of two commercial platelet-rich plasma systems in healthy rabbit tendons. Am J Sports Med (2012) 40(6):1274–81. doi:10.1177/0363546512442334
- McCarrel T, Fortier L. Temporal growth factor release from platelet-rich plasma, trehalose lyophilized platelets, and bone marrow aspirate and their effect on tendon and ligament gene expression. J Orthop Res (2009) 27(8):1033–42. doi:10.1002/jor.20853
- Canine Platelet-Rich Plasma Systems: A Prospective Analysis
Potrebbero interessarti anche


















